一、背景介绍
碳纳米管(CNTs)因其卓越的导热性、机械柔韧性和在高温下的化学稳定性,在下一代热界面材料(TIMs)中展现出巨大潜力。垂直排列的CNTs聚集体,称为CNT森林,CNT森林由许多柔韧的细纤维组成,这些纤维垂直排列并很好地粘附在接触材料上。然而,在与散热器的界面上,模拟和实验表明,由于声子相互作用的显著不匹配,碳和金属材料之间的界面热阻很高。
二、成果掠影
近日,静冈大学Yoku Inoue团队通过瞬态热响应测量和结构函数分析,研究了垂直排列的高密度碳纳米管及其与金属散热器界面的热阻。在碳纳米管中,热传导主要由声子(声子)主导,而在金属中则由电子主导。这种热载流子的差异在简单的接触条件下会在碳纳米管/金属界面处造成显著的能量传输障碍。团队证明了在碳纳米管尖端形成铝帽层,作为声子桥接层,可以有效地增强界面处的声子-电子耦合。这种方法显著降低了界面热阻,为优化先进热界面材料应用中的热传导提供了潜在的途径。研究成果以“Enhancing thermal conduction properties of vertically aligned CNT forests by reducing interfacial thermal resistance using an aluminum interlayer”为题发表在《Carbon》期刊。

图1.用于热分析的独立碳纳米管(CNT)森林样品的制作示意图。

图2.瞬态热响应和结构函数的热分析。(a)测量系统。(b)测量系统的热等效梯形电路。(c)冷却过程中的瞬态热响应和(d)热电偶(TEG)-冷板配置的结构函数曲线。

图3.碳纳米管尖端的扫描电子显微镜(SEM)图像:(a)蚀刻前,(b)蚀刻后,(c)碳纳米管森林的分离表面(插图:碳纳米管森林从硅基底上移除),以及(d)涂有20纳米铝层的碳纳米管尖端

图4.碳纳米管-不锈钢(SUS)界面结合配置的示意图。

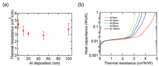
图5.a)热阻和(b)不同铝沉积厚度在尖端处的碳纳米管森林的典型热结构函数。

图6.(a)热阻和(b)在各种接触压力下测量的50纳米铝帽层碳纳米管森林的代表性热结构函数

图7. 碳纳米管/金属界面的热载流子传输模型。